Réels

Cette fiche présente les fonctions trigonométriques utilisées par Up ! Mathematical pour les nombres réels.

Fonctions trigonométriques simples

La formule générale est :

Cosinus

Pour tout nombre réel en radians, la définition du cosinus est :

Sinus

Pour tout nombre réel en radians, la définition du sinus est :

Tangeante

Pour tout nombre réel en radians différent de , , etc., la définition de la tangeante est :

Cosécante

Pour tout nombre réel en radians différent de , 0, , etc., la définition de la cotangeante est :

Sécante

Pour tout nombre réel en radians, la définition de la sécante est :

Pour tout nombre réel en radians différent de , , etc., la définition de la tangeante est :

Cotangeante

Pour tout nombre réel en radians différent de , 0, , etc., la définition de la cotangeante est :

Fonctions trigonométriques hyperboliques

Cosinus hyperbolique

Pour tout nombre réel, la définition du cosinus hyperbolique est :

Sinus hyperbolique

Pour tout nombre réel, la définition du sinus hyperbolique est :

Tangeante hyperbolique

Pour tout nombre réel, la définition de la tangeante hyperbolique est :

Cosécante hyperbolique

Pour tout nombre réel différent de 0, la définition de la cosécante hyperbolique est :

Sécante hyperbolique

Pour tout nombre réel, la définition de la sécante hyperbolique est :

Cotangeante hyperbolique

Pour tout nombre réel différent de 0, la définition de la cotangeante hyperbolique est :

Fonctions trigonométriques simples inverses

Cosinus inverse

Pour tout nombre compris entre -1 et 1, la définition du cosinus inverse est :

Sinus inverse

Pour tout nombre réel entre -1 et 1, la définition du sinus inverse est :

Cosécante inverse

Pour tout nombre réel différent de (0,0), la définition de la cosécante inverse est :

Sécante inverse

Pour tout nombre réel différent de , 0, , etc., la définition de la sécante inverse est :

Cotangeante

Pour tout nombre réel, la définition de la cotangeante inverse est :

Fonctions trigonométriques hyperboliques inverses

Cosinus hyperbolique inverse

Pour tout nombre réel compris entre -1.0 et 1.0, la définition du cosinus hyperbolique inverse est :

Sinus hyperbolique inverse

Pour tout nombre réel compris entre -1.0 et 1.0, la définition du sinus hyperbolique inverse est :

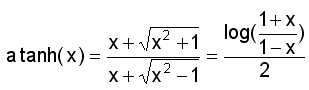
Tangeante hyperbolique inverse

Pour tout nombre réel, la définition de la tangeante hyperbolique inverse est :

Cosécante hyperbolique inverse

Pour tout nombre réel strictement positif, la définition de la cosécante hyperbolique inverse est :

Pour tout nombre réel strictement négatif, la définition de la cosécante hyperbolique inverse est :

Sécante hyperbolique inverse

Pour tout nombre réel compris entre -1 et 1, la définition de la sécante hyperbolique inverse est :

Cotangeante hyperbolique inverse

Pour tout nombre réel différent de 1, la définition de la cotangeante hyperbolique inverse est :